Biến đầu ra không mong muốn trong mô hình phân tích đường bao dữ liệu (DEA): Lược sử nghiên cứu
Từ khóa: hiệu quả kỹ thuật, biến đầu ra không kỳ vọng, phân tích đường bao dữ liệu
Summary
Examining the effect of undesirable output variables on the technical efficiency of activities has attracted a lot of attention from researchers. This study synthesizes four main trends being used to deal with these types of variables, including: (1) Ignoring their influence; (2) Considering them as normal input variables; (3) Consideringg them as normal output variables; (4) Performing mathematical transformations in the model to integrate them. Besides, the study also introduces some new trends to handle this type of variable. Each method contains advantages and disadvantages that researchers need to consider in the process of choosing the right model for each specific study.
Keywords: technical efficiency; undesirable ouputs; data envelopment analysis
GIỚI THIỆU
Phân tích đường bao dữ liệu (DEA) là một phương pháp phi tham số được sử dụng để đánh giá hiệu quả của các đơn vị ra quyết định (DMU) có hoạt động sản xuất đồng nhất bằng cách ứng dụng kỹ thuật quy hoạch tuyến tính (Boussofiane và cộng sự, 1991). Hiệu quả ở đây được định nghĩa là tỷ lệ giữa các biến đầu ra và đầu vào. Trong đó, đầu vào có thể là lao động, vốn, tài nguyên, vật liệu, nhiên liệu, máy móc công cụ; trong khi đầu ra thường được xem xét là sản lượng, doanh số, giá trị gia tăng, GDP… (Tamaki và cộng sự, 2016). Các mô hình DEA bao gồm hai dạng: (1) Định hướng đầu vào – tối thiểu hóa để đạt được lượng đầu ra không đổi; (2) Định hướng đầu ra – tối đa hóa đầu ra mà không cần gia tăng đầu vào. Một trong những ưu điểm của mô hình DEA là không cần một mối quan hệ tuyến tính giữa các biến đầu ra và đầu vào giống như phương pháp hồi quy (Wu và cộng sự, 2013).
Một trong những vấn đề gây tranh cãi trong mô hình DEA là việc xem xét tác động của các biến đầu ra không mong muốn chu trình sản xuất. Đây là những biến số sinh ra một cách tự nhiên và đồng thời với những biến đầu ra mong muốn (desirable outputs). Đó có thể là nợ xấu trong hoạt động tín dụng của ngân hàng, các loại khí thải đối với ngành năng lượng, hay sự chậm trễ trong ngành vận tải. Rõ ràng, việc tối đa hóa những biến này theo mô hình DEA truyền thống không phù hợp về ý nghĩa kinh tế, bởi lẽ những biến này làm giảm hiệu quả hoạt động (Seiford và Zhu, 2001).
Rất nhiều nghiên cứu đã được thực hiện để tính toán đến ảnh hưởng của loại biến này trong mô hình DEA. Theo đó, người ta chia thành 2 hướng: trực tiếp và gián tiếp. Phương pháp trực tiếp sẽ xem xét đầu ra không mong muốn dưới dạng gốc bằng cách sử dụng Phương trình khoảng cách tham số đầu ra – đầu vào. Ngược lại, phương pháp gián tiếp lại coi đầu ra không mong muốn như một biến đầu vào (sau một vài biến đổi) bởi lẽ biến đầu vào và biến đầu ra không mong muốn có chung đặc điểm là cần được tối thiểu hóa (Mohd và cộng sự, 2015). Tuy nhiên, Seiford và Zhu (2001) đã chỉ ra rằng, việc xem xét biến đầu ra không mong muốn như đầu vào sẽ làm méo mó chu trình sản xuất bởi lẽ mối quan hệ biện chứng giữa đầu vào – đầu ra sẽ không thể được giải thích. Chính vì vậy, lược sử nghiên cứu biến đầu ra không mong muốn trong mô hình DEA đóng vai trò quan trọng.
TỔNG HỢP CÁC PHƯƠNG PHÁP XỬ LÝ BIẾN ĐẦU RA KHÔNG MONG MUỐN
Việc xem xét ý nghĩa của biến đầu ra không mong muốn có ảnh hưởng lớn đến kết quả của việc tính toán hiệu quả hoạt động. Ví dụ, nghiên cứu mối quan hệ của hàm sản xuất cho thấy việc giảm thiểu các chất gây ô nhiễm (CO2, Nox…) cũng đồng nghĩa với việc giảm thiểu các yếu tố đầu ra mong muốn (như sản lượng điện, giá trị vận tải…) trong khuôn khổ giới hạn kỹ thuật cho phép (Halkos và Polemis, 2018). Các phương pháp phổ biến để xem xét ảnh hưởng của các đầu ra không mong muốn trong mô hình DEA và hàm sản xuất được trình bày dưới đây.
Bỏ qua ý nghĩa của biến đầu ra không mong muốn
Lựa chọn đầu tiên đơn giản là bỏ qua ý nghĩa của những biến này trong hàm sản xuất. Việc bỏ qua những biến này ám chỉ rằng chúng không có ý nghĩa trong phép định lượng hiệu quả. Rõ ràng việc xử lý này sẽ mang lại những kết quả sai lệch bởi lẽ những sản phẩm đầu ra không mong muốn là một phần không thể tách rời nếu muốn tạo ra những sản phẩm mong muốn và chúng luôn vận động cùng chiều với nhau. Bảng 1 tóm lược một số nghiên cứu đã bỏ qua biến đầu ra không mong muốn trong phân tích hiệu quả.
Bảng 1: Một số nghiên cứu bỏ qua biến đầu ra không mong muốn
| Pathomsiri và cộng sự (2008) | Nghiên cứu này đánh giá năng suất của 56 cảng hàng không Mỹ trong khoảng thời gian 2000-2003. So sánh kết quả thu được từ mô hình có và không tích hợp biến đầu ra không mong muốn |
| He và cộng sự (2013) | Bài viết này sử dụng dữ liệu từ 50 doanh nghiệp trong ngành công nghiệp gang thép của Trung Quốc để đánh giá hiệu quả năng lượng và sự thay đổi năng suất của họ và kết luận rằng việc loại bỏ các đầu ra không mong muốn sẽ dẫn đến sự thiên lệch trong đánh giá hiệu quả. |
Nguồn: Tác giả tổng hợp
Coi biến đầu ra không mong muốn như biến đầu vào
Một trong những lựa chọn khác để xử lý biến đầu ra không mong muốn là coi chúng như những biến đầu vào thông thường trong hàm sản xuất. Chẳng hạn, Korhonen và Luptacik (2003) đã đo lường “hiệu quả sinh thái” của 24 nhà máy nhiệt điện ở một quốc gia châu Âu. Mức độ kém hiệu quả các khoản nợ xấu của các ngân hàng Nhật Bản được nghiên cứu bởi Hirofumi và William (2008); họ mô hình hóa các khoản nợ xấu đó như một sản phẩm phụ không mong muốn được tạo ra một cách đồng thời trong quá trình hoạt động tín dụng. Bảng 2 trình bày một số nghiên cứu đã theo cách tiếp cận này.
Bảng 2: Một số nghiên cứu xử lý biến đầu ra không mong muốn như biến đầu vào
| Korhonen và Luptacik (2003) | Nghiên cứu này đo lường hiệu quả sinh thái của 24 nhà máy sản xuất than nhiệt điện; theo đó họ xử lý các loại khí thải như biến đầu vào |
| Gomes và Lins (2008) | Trong nghiên cứu này, dân số, mức tiêu thụ năng lượng và GDP được xử lý như biến đầu ra và lượng khí thải CO2 đầu ra không mong muốn được mô hình hóa như đầu vào để đánh giá sự phân bổ hợp lý lượng khí thải (đầu ra không mong muốn) |
| Zhang và cộng sự (2008) | Bài báo thực hiện phân tích hiệu quả sinh thái của các vùng công nghiệp ở Trung Quốc |
Nguồn: Tác giả tổng hợp
Xử lý biến đầu ra không mong muốn trong mô hình phi tuyến tính
Một cách tiếp cận khác là coi các đầu ra không mong muốn là đầu ra trong hàm sản xuất. Fare và cộng sự (1989) đã áp dụng cách tiếp cận phi tham số trên tập dữ liệu của 30 nhà máy ở Hoa Kỳ sử dụng bột giấy và 3 đầu vào khác để sản xuất giấy và 4 chất gây ô nhiễm, trong đó họ giả định tính khả dụng yếu đối với các đầu ra không mong muốn. Kết quả của họ cho thấy thứ hạng đánh giá hiệu suất của các DMU khá nhạy cảm với việc có hay không sử dụng các biến đầu ra không mong muốn.
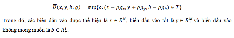
Ball và cộng sự (2004) đã mở rộng ý tưởng của Fare và cộng sự (1989) và đề xuất sử dụng hàm khoảng cách định hướng (Directional distance function - DDF) để đánh giá hiệu quả của các DMU, trong đó hàm sản xuất cũng bao gồm một số đầu ra không mong muốn. Hàm khoảng cách định hướng đầu ra, mục tiêu là tăng các đầu ra mong muốn và giảm các đầu ra không mong muốn cũng như các đầu vào, được định nghĩa như sau:
![]() |
Nhiều nhà nghiên cứu đã chỉ ra rằng, phương pháp tiếp cận bằng hàm khoảng cách định hướng (DDF) là giải pháp tốt nhất vì nó cho phép tăng đồng thời các kết quả đầu ra mong muốn và giảm các kết quả đầu ra không mong muốn. Nó giúp tránh việc lựa chọn ngẫu nhiên giữa các đầu vào và đầu ra bằng cách kết hợp hai tập hợp quy hoạch tuyến tính, một tối đa hóa lợi nhuận và một trong đó hiệu quả kỹ thuật được đo lường bằng cách giảm đồng thời vectơ đầu vào và mở rộng vector đầu ra. Một vài ví dụ về các nghiên cứu theo đuổi cách tiếp cận này được thể hiện ở Bảng 3.
Bảng 3: Một số nghiên cứu sử dụng mô hình quy hoạch phi tuyến tính
| Nghiên cứu | Phương pháp |
| Tamaki và cộng sự (2016) | Đo lường hiệu quả của ngành giao thông công cộng ở một số thành phố |
| Eva Alfredsson và cộng sự (2016) | Nghiên cứu hiệu quả ngành công nghiệp giấy sử dụng hàm khoảng cách định hướng |
| Lee và cộng sự (2017) | Đo lường hiệu suất ngành công nghiệp hàng không và kiểm tra các yếu tố tác động đến sự thay đổi hiệu suất |
Nguồn: Tác giả tổng hợp
Áp dụng các phép biến đổi đầu ra không mong muốn
Một cách tiếp cận khác là áp dụng phép biến đổi giảm đơn điệu. Koopmans (1951) đã chỉ ra rằng một số đầu ra như khí thải ô nhiễm và chất thải ảnh hưởng tiêu cực đến môi trường và cần được giảm thiểu. Vì vậy, bước đầu tiên là áp dụng một số phép biến đổi như được trình bày dưới đây:
a. (U) - U; theo đó biến đầu ra xấu sẽ trở thành tốt. Tuy nhiên sau đó một số dữ liệu sẽ mang dấu âm và không thể tính toán hiệu quả một cách trực tiếp cho những dữ liệu này.
b. (U) - U + β là một lựa chọn khác nhưng độ chính xác của cách tiếp cận này sẽ phụ thuộc vào β.
c. Nghịch đảo f(U) = 1/U.
Có một số công trình gần đây xử lý dữ liệu âm (là các đầu ra mong muốn) với cách tiếp cận sử dụng hàm khoảng cách định hướng, chẳng hạn như Fare và Grosskopf (2004). Những cách tiếp cận này thường liên quan đến các mô hình tổng trọng số.
Một số mô hình mới
ần đây một số mô hình mới để xử lý các đầu ra không mong muốn đã được đề xuất. Gomes và Lins (2008) phát triển một cách tiếp cận mới để mô hình hóa các kết quả đầu ra không mong muốn, dựa trên các mô hình DEA có tổng bằng 0 (ZSG-DEA). Những mô hình này xem xét sự phụ thuộc của hoạt động sản xuất giữa các DMU, bao gồm các ràng buộc bổ sung, tính chất của trò chơi có tổng bằng 0, trong đó bất cứ thứ gì bị mất (hoặc đạt được) của một trong những người chơi phải được những người khác giành được (hoặc bị mất), nghĩa là tổng lợi nhuận ròng phải bằng 0.
Thông qua việc sử dụng chỉ số cường độ môi trường, nền kinh tế có thể mở rộng mà không ảnh hưởng đến môi trường. Khái niệm tổng quát của Halkos và cộng sự (2015) đã áp dụng các hàm khoảng cách có định hướng và xây dựng hai chỉ số. Chỉ số thứ nhất là chỉ số kinh tế trong đó đầu vào được sử dụng để tạo ra đầu ra các đầu ra kinh tế trong khi chỉ số thứ hai – chỉ số môi trường sử dụng đầu ra kinh tế để tạo ra đầu ra là các yếu tố không mong muốn liên quan đến môi trường. Tỷ lệ của hai chỉ số này được sử dụng để tính chỉ số cường độ ô nhiễm.
THẢO LUẬN
Như đã trình bày trong phần trước, các nhà nghiên cứu đã và đang tập trung vào cách có thể xử lý các đầu ra không mong muốn trong mô hình DEA để đưa chúng vào xem xét trong hàm sản xuất. Các phương pháp được trình bày ở trên cho thấy rằng, các nhà nghiên cứu có những cách tiếp cận khác nhau và trong các tình huống khác nhau. Cách tiếp cận đầu tiên đơn giản là bỏ qua những đầu ra không mong muốn. Cách thức này bị hầu hết các nhà nghiên cứu phê phán vì làm mất đi ý nghĩa của bản chất và chỉ đơn giản là giả vờ như chúng không tồn tại.
Cách tiếp cận thứ hai coi các đầu ra không mong muốn là đầu vào đã được sử dụng rộng rãi trong nghiên cứu. Mặc dù vậy, những quan điểm này đã bị các học giả chỉ trích. Chủ đề trọng tâm của những bài phê bình này liên quan đến việc việc giả thuyết khả năng “suy giảm yếu” (Kuosmanen, 2005). Về những vấn đề đó, Kuosmanen (2005) đã chỉ ra rằng, đặc điểm kỹ thuật chung về khả năng suy giảm yếu ngầm giả định rằng, tất cả các DMU trong mẫu đều áp dụng hệ số giảm thiểu thống nhất. Ngoài ra, Fare và Grosskopf (2004) đề cập đến một số hạn chế, nhưng đồng thời cũng thừa nhận rằng cách tiếp cận này khá hấp dẫn và hữu ích. Đầu tiên là giả định về khả năng “suy giảm thoải mải”, vì trên thực tế, việc tăng không giới hạn sản lượng đầu ra không mong muốn là không thể thực hiện được về mặt kỹ thuật. Thứ hai, khi đánh giá các nhà máy điện hoặc lĩnh vực năng lượng từ góc độ kinh tế vi mô, mối liên hệ giữa nhiên liệu, năng lượng và khí thải phải được giữ nguyên.
Một cách tiếp cận khác là coi những đầu ra không mong muốn đó là những đầu ra bình thường trong hàm sản xuất. Theo đó, cách tiếp cận trực tiếp được áp dụng mà trong đó cả đầu ra mong muốn và không mong muốn đều được xử lý ở dạng thực tế của chúng. Với việc sử dụng hàm DDF, có thể giảm các đầu ra không mong muốn dựa trên một vector định hướng nhất định. Loại phương pháp tiếp cận DEA này đã được sử dụng rộng rãi trong đánh giá hiệu quả môi trường (Lozano và Gutiérrez, 2008).
Cuối cùng, một lựa chọn khác là biến đổi các đầu ra không mong muốn và một số phương pháp để thực hiện việc này đã được trình bày ở trên. Các mô hình mới gần đây cũng đã được đưa ra để xử lý các đầu ra không mong muốn. Hướng phát triển này chưa được thử nghiệm rộng rãi nên không thể xác định giá trị thực nghiệm của chúng.
Nói chung, không dễ để có câu trả lời về việc nên sử dụng phương pháp nào vì mỗi phương pháp đều có ưu điểm và nhược điểm. Vì vậy, trước tiên mỗi nhà nghiên cứu nên xem xét những gì mình muốn đạt được từ những phân tích để từ đó quyết định hướng đi
KẾT LUẬN
Việc xử lý các đầu ra không mong muốn đã được chứng minh là một thách thức khá lớn đối với các nhà nghiên cứu hiệu quả sử dụng mô hình DEA. Bốn phương án khả thi đã được trình bày trong các phần trước cùng với một số đề xuất mô hình mới có thể được phát triển. Để kết luận, 4 phương pháp được sử dụng phổ biến nhất trong việc xử lý các đầu ra không mong muốn bao gồm: (1) Bỏ qua chúng khỏi hàm sản xuất; (2) Coi chúng như đầu vào thông thường; (3) Coi chúng như đầu ra bình thường và (4) Thực hiện các phép biến đổi cần thiết để dịch chuyển dữ liệu. Nói chung, không dễ để có câu trả lời về việc nên sử dụng phương pháp nào vì mỗi phương pháp đều có ưu điểm và nhược điểm. Mỗi phương pháp đều có những lợi ích và hạn chế mà mỗi nhà nghiên cứu nên tính đến ở mỗi giai đoạn nghiên cứu của mình và đánh giá phương pháp nào phù hợp hơn để sử dụng./.
Tài liệu tham khảo:
1. Amado, C.A.F., Santos, S.P., Marques, P.M. (2012), Integrating the Data Envelopment Analysis and the Balanced Scorecard approaches for enhanced performance assessment, Omega, 40(3), 390-403.
2. Ball, V.E., Lovell, C.K., Luu, H., Nehring, R. (2004), Incorporating environmental impacts in the measurement of agricultural productivity growth, J. Agric. Resour. Econ, 29(3), 436–460.
3. Boussofiane, A., Dyson, R.G., Thanassoulis, E. (1991), Applied data envelopment analysis, European J. Oper. Res., 52, 1-15.
4. Eva Alfredsson, E., Månsson, J., Vikström, P. (2016), Internalising external environmental effects in efficiency analysis: The Swedish pulp and paper industry 2000–2007, Econ. Anal. Policy, 51, 22-31.
5. Fare, R., Grosskopf, S. (2004), Modelling undesirable factors in efficiency evaluation: comment, European J. Oper. Res, 157, 242–245.
6. Fare, R., Grosskopf, S., Lovell, C.A.K., Pasurka, C. (1989), Multilateral productivity comparisons when some outputs are undesirable: A nonparametric approach, Rev. Econ. Stat., 71, 90–98.
7. Gomes, E.G., Lins, M.P.E. (2008), Modelling undesirable outputs with zero sum gains data envelopment analysis models, J. Oper. Res. Soc., 59(5), 616–623.
8. Halkos, G., Papageorgiou, G. (2014), Spatial environmental efficiency indicators in regional waste generation: A nonparametric approach, MPRA Paper (53400).
9. Halkos, G.E., Polemis, M.L. (2018), The impact of economic growth on environmental efficiency of the electricity sector: A hybrid window DEA methodology for the USA, J. Environ. Manag., 211, 334–346.
10. Halkos, G.E., Tzeremes, N.G., Kourtzidis, S.A. (2015), Weight assurance region in two-stage additive efficiency decomposition DEA model: an application to school data, J. Oper. Res. Soc., 66 (4), 696–704.
11. He, F., Zhang, Q., Lei, J., Fu, W., Xu, X. (2013), Energy efficiency and productivity change of China’s iron and steel industry: Accounting for undesirable outputs, Energy Policy, 54, 204–213.
12. Hirofumi, F., William, L.W. (2008), Japanese banking inefficiency and shadow pricing, Math. Comput. Modelling, 48(11–12), 1854–1867.
13. Koopmans, T. (1951), Analysis of production as an efficient combination of activities. In: Activity Analysis of Production and Allocation, John Wiley and Sons, New York, 33-97.
14. Korhonen, P., Luptacik, M. (2003), Eco-efficiency analysis of power plants: An extension of data envelopment analysis, European J. Oper. Res., 154, 437–446.
15. Kortelainen, M. (2008), Dynamic environmental performance analysis: a Malmquist index approach, Ecol. Econom, 64, 701–715.
16. Kuosmanen, T. (2005), Weak disposability in nonparametric production analysis with undesirable outputs, Amer. J. Agric. Econ., 87(4), 1077–1082.
17. Lee, B.L., Wilson, C., Jr, Pasurka., Carl, A., Fujii, H., Managi, S., (2017), Sources of airline productivity from carbon emissions: An analysis of operational performance under good and bad outputs, J. Prod. Anal., 47 (3), 223–246.
18. Lozano, S., Gutiérrez, E. (2008), Non-parametric frontier approach to modelling the relationships among population, GDP, energy consumption and CO2 emissions, Ecol. Econom., 66(4), 687–699.
19. Mohd, S.A., Khan, N., Ramli, R., Azizul Baten, M.D. (2015), Enhanced DEA model with undesirable output and interval data for rice growing farmers performance assessment, AIP Conf. Proc., 1691.
20. Pathomsiri, S., Haghani, A., Dresner, M., Windle, R.J. (2008), Impact of undesirable outputs on the productivity of US airports, Transp. Res. E, 44, 235–259.
21. Seiford, L.M., Zhu, J. (2001), Modeling undesirable factors in efficiency evaluation, European J. Oper. Res., 142, 16–20.
22. Tamaki, T., Nakamura, H., Fujii, H., Managi, S. (2016), Efficiency and emissions from urban transport: Application to world city-level public transportation, Econ. Anal. Policy, 61(4), DOI:10.1016/j.eap.2016.09.001.
23. Wu, H., Du, S., Zhou, Y. (2013), A DEA-based approach for fair reduction and reallocation of emission permits, , 58(5–6), 1095–1101.
24. Zhang, B., Bi, J., Fan, Z., Yuan, Z., Ge, J., 2008. Eco-efficiency analysis of industrial system in China: A data envelopment analysis approach. Ecol. Econom. 68, 306–316.
Phùng Mạnh Trung
Trường Đại học Hàng hải Việt Nam
(Theo Tạp chí Kinh tế và Dự báo, số 01, tháng 01/2024)


Bình luận