Các nhân tố chính sách hỗ trợ ảnh hưởng đến nông nghiệp ứng dụng công nghệ cao trên địa bàn tỉnh Nam Định
TS. Vũ Tam Hoà
Trường Đại học Thương mại
Email: vutamhoa3@gmail.com
Tóm tắt
Thông qua kết quả khảo sát đối với 100 đối tượng đại diện ở các đơn vị sản xuất nông nghiệp có ứng dụng công nghệ cao trên địa bàn tỉnh Nam Định, nghiên cứu nhằm phân tích tác động của các chính sách hỗ trợ đến Nông nghiệp ứng dụng công nghệ cao. Kết quả nghiên cứu cho thấy, có 4 nhân tố có tác động đến Nông nghiệp ứng dụng công nghệ cao, gồm: Chính sách hỗ trợ tài chính; Chính sách hỗ trợ về nhân lực; chính sách hỗ trợ về khoa học công nghệ; Chính sách về cơ sở hạ tầng.
Từ khóa: nông nghiệp, chính sách hỗ trợ, nông nghiệp ứng dụng công nghệ cao.
Summary
Through the survey results of 100 representative subjects in agricultural production units applying high technology in Nam Dinh Province, the study aims to analyze the impact of support policies on high-tech agriculture. The research results show 4 factors that impact high-tech agriculture: Financial support policy; Human resource support policy; Science and technology support policy; and infrastructure policy.
Keywords: agriculture, support policy, high-tech agriculture
ĐẶT VẤN ĐỀ
Chính sách hỗ trợ nông nghiệp ứng dụng công nghệ cao được xem với các chính sách cơ bản như: chính sách hỗ trợ về tài chính; chính sách hỗ trợ về nhân lực; chính sách hỗ trợ về khoa học công nghệ; chính sách hỗ trợ về cơ sở hạ tầng. Các chính sách này là nhân tố quan trọng trong phát triển nông nghiệp ứng dụng công nghệ cao, hỗ trợ các doanh nghiệp, mang lại sự đột phá nhằm phát huy lợi thế của vùng miền, tạo việc làm, chuyển biến nhanh về thu nhập, đời sống cho người lao động trong phát triển nông nghiệp ứng dụng công nghệ cao. Tuy nhiên, mức độ tiếp cận quy định của chính sách hỗ trợ nông nghiệp ứng dụng công nghệ cao khá hạn hẹp và tác động của các chính sách này còn nhiều hạn chế, như: các chính sách hỗ trợ chưa phát huy được tác dụng do quy mô nhỏ, lẻ, chủ yếu giải quyết vấn đề nhỏ trước mắt, trong quá trình hỗ trợ còn nhiều bất cập việc triển khai hỗ trợ chưa hiệu quả, cơ sở vật chất thiếu thốn, lạc hậu.
CƠ SỞ LÝ THUYẾT VÀ PHƯƠNG PHÁP NGHIÊN CỨU
Tổng quan nghiên cứu
Lê Minh Ngọc (2017) đã phân tích kinh nghiệm ứng dụng công nghệ cao của các quốc gia hàng đầu thế giới trong lĩnh vực sản xuất nông nghiệp, điển hình như: Israel, Hàn Quốc, Nhật Bản... Tác giả cũng làm rõ quan điểm nông nghiệp Việt Nam có nhiều lợi thế về vị trí địa lý, khí hậu đa dạng, nhân lực dồi dào và có truyền thống nông nghiệp lâu đời, nhưng chủ yếu vẫn là những yếu tố lợi thế “tĩnh”, vì thế bài học kinh nghiệm của các nước có nền nông nghiệp phát triển, như: Israel, Hàn Quốc, Nhật Bản cho thấy rằng, chúng ta cần khai thác những yếu tố “động” quan trọng như: cơ chế chính sách, ứng dụng công nghệ cao, học hỏi cách làm của các nước tiên tiến… nhằm phát triển nông nghiệp ứng dụng công nghệ cao của Việt Nam trong giai đoạn hiện nay. Ngoài ra, tác giả cũng đưa ra mô hình lý thuyết đánh giá, phân tích những kinh nghiệm ứng dụng công nghệ cao của các quốc gia dựa trên các bảng hỏi và phiếu khảo sát.
Thông qua phương pháp phỏng vấn bằng bảng câu hỏi đối với 55 hộ gia đình được chọn bằng kỹ thuật lấy mẫu ngẫu nhiên phân tầng, Washington Muzari và cộng sự (2013) đã phân tích thực trạng phát triển của các vùng ở Zimbabwe với tỷ lệ đói nghèo cao, thu nhập thấp ở nông thôn, năng suất nông nghiệp thấp. Trên cơ sở đó, nghiên cứu này đã chỉ ra, có mối quan hệ giữa sử dụng công nghệ nông nghiệp (thu hoạch nước, nông nghiệp bảo tồn, phân bón/phân chuồng và thủy lợi) và năng suất nông nghiệp và an ninh lương thực giữa các hộ gia đình tại quận Makonde thuộc tỉnh Mashonaland West. Đồng thời, có sự khác biệt đáng kể giữa năng suất trung bình của những người áp dụng công nghệ tưới tiêu.
William C. Motes (2014) đã đưa ra hệ thống cơ sở lý luận về nông nghiệp hiện đại, từ đó tác giả phân tích về vai trò, xu hướng của nông nghiệp hiện đại trong bối cảnh hiện nay. Đồng thời, tác giả cũng đưa ra những đề xuất nhằm áp dụng mô hình nông nghiệp hiện đại phổ biến để đem lại hiệu quả cao trong sản xuất nông nghiệp.
Mô hình nghiên cứu đề xuất
Từ tổng quan nghiên cứu và các lý thuyết liên quan, tác giả đề xuất mô hình nghiên cứu như Hình.
Hình: Mô hình nghiên cứu đề xuất
![]() |
| Nguồn: Tác giả đề xuất |
Phương pháp nghiên cứu
Mô hình nghiên cứu
Dựa trên nghiên cứu tổng quan và mô hình lý thuyết đã được nghiên cứu trước đó, tác giả đã lựa chọn 4 chính sách có tác động nhiều nhất đến chính sách hỗ trợ nông nghiệp ứng dụng công nghệ cao trên địa bàn tỉnh Nam Định và phân tích các yếu tố (chính sách) tác động đến nông nghiệp ứng dụng công nghệ cao, lựa chọn và xây dựng mô hình tương quan tổng thể có dạng:
Y (HTA) = f (B1, B2, B3, B4).
Trong đó:
HTA: Nông nghiệp ứng dụng công nghệ cao (biến phụ thuộc); B1, B2, B3, B4 là các biến độc lập
B1: Chính sách hỗ trợ về tài chính;
B2: Chính sách hỗ trợ về nhân lực;
B3: Chính sách hỗ trợ về khoa học công nghệ;
B4: Chính sách hỗ trợ về cơ sở hạ tầng.
Kết quả đo lường mức độ tác động của các yếu tố từ F1 đến F4 sẽ được thể hiện ở phương trình hồi quy tuyến tính:
Y (HTA) = β0 + β1. B1 + β2. B2 +β3, B3+β4. B4 + ɛ
Trong đó: ɛ là sai số ngẫu nhiên; β0 là hệ số chặn
Phương pháp nghiên cứu
Việc xử lý các số liệu điều tra, thực hiện các kiểm định về độ tin cậy và chất lượng của các thang đo được thực hiện trên phần mềm SPSS phiên bản 20.0. Bảng khảo sát sau khi xây dựng được nhóm nghiên cứu gửi tới đại diện các đơn vị sản xuất nông nghiệp có ứng dụng công nghệ cao (hợp tác xã, cơ sở sản xuất, doanh nghiệp tư nhân, công ty TNHH, công ty cổ phần) chủ yếu tại các vùng áp dụng sản xuất nông nghiệp chuyên canh, có ứng dụng công nghệ cao của tỉnh Nam Định, như: Vụ Bản, Giao Thuỷ, Nghĩa Hưng, Hải Hậu…. Số phiếu phát ra và thu về là 100 phiếu hợp lệ được đưa vào phân tích. Tác giả xây dựng bảng hỏi trên cơ sở sử dụng thang đo Likert với 5 mức độ: từ (1) Hoàn toàn không đồng ý, đến (5) Hoàn toàn đồng ý, để tham khảo ý kiến đánh giá của các đối tượng là chủ thể hưởng lợi từ chính sách hoặc đại diện chủ thể và đại diện tổ chức (đơn vị) thực thi chính sách đối với nông nghiệp ứng dụng công nghệ cao tỉnh Nam Định. Thời gian khảo sát được tiến hành trong tháng 5/2024.
KẾT QUẢ NGHIÊN CỨU
Kiểm định độ tin cậy của các biến độc lập và phụ thuộc
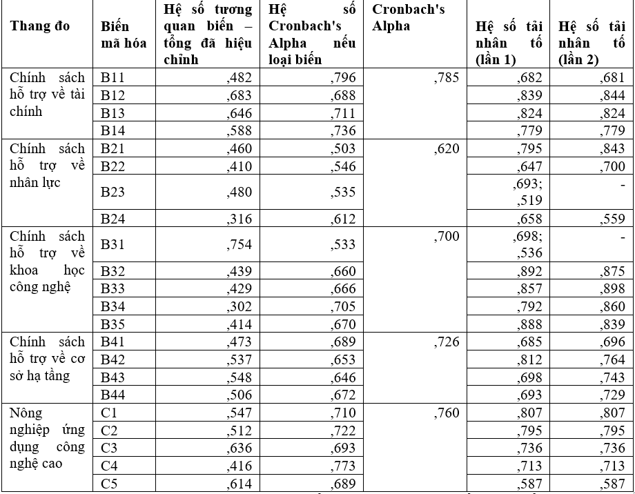
Bảng 1: Kết quả kiểm tra độ tin cậy và tính hợp lệ của thang đo
![]() |
| Nguồn: Tính toán từ số liệu điều tra của tác giả |
Bảng 1 cho thấy, hệ số Cronbach's Alpha tổng thể của 4 nhân tố độc lập và một nhân tố phụ thuộc đều > 0,6; Hệ số tương quan biến tổng của tất cả các biến quan sát > 0,3. Do đó, thang đo đạt yêu cầu, có chất lượng tốt và được đưa vào mô hình phân tích ở các bước tiếp theo.
Kiểm định hệ số KMO và Bartlett
Bảng 2: Kết quả kiểm định hệ số KMO và Bartlett
![]() |
| Nguồn: Tính toán từ số liệu điều tra của tác giả |
Bảng 2 cho thấy: Hệ số KMO có giá trị = 0,613, thỏa mãn điều kiện: 0,5 ≤ KMO ≤ 1, nên phân tích nhân tố phù hợp với dữ liệu thực tế
Giá trị Sig của kiểm định Bartlett = 0,000 < 0,05, nên các biến quan sát có tương quan với nhau trong mỗi nhóm nhân tố.
Kiểm định phương sai trích
Kiểm định phương sai trích các yếu tố cho các biến độc lập
Bảng 3: Kiểm định phương sai trích các yếu tố cho các biến độc lập
![]() |
| Nguồn: Tính toán từ số liệu điều tra của tác giả |
Bảng 3 cho thấy, tổng phương sai trích có giá trị 64,226% > 50% đáp ứng tiêu chuẩn. Điều này có nghĩa là, 64,226% thay đổi của nhân tố được giải thích bới các biến quan sát độc lập
Kiểm định phương sai trích các yếu tố cho biến phụ thuộc
Bảng 4: Kiểm định phương sai trích các yếu tố cho biến phụ thuộc
![]() |
| Nguồn: Tính toán từ số liệu điều tra của tác giả |
Bảng 4 cho thấy, tổng phương sai trích có giá trị 53,548 % >50% đáp ứng tiêu chuẩn. Như vậy, 53,548% thay đổi của nhân tố được giải thích bới các biến quan sát phụ thuộc.
Kiểm định tính tương quan và phân tích hồi quy bội
Kiểm định tương quan
Bảng 5: Kiểm định tương quan
![]() |
| Nguồn: Tính toán từ số liệu điều tra của tác giả |
Bảng 5 cho thấy, các nhân tố khảo sát có tương quan tốt với nhau.
Phân tích hồi quy
Phân tích hồi quy sẽ xác định phương trình hồi quy tuyến tính, với các hệ số Beta tìm được để khẳng định mối quan hệ nhân quả giữa biến phụ thuộc (HTA) và các biến độc lập (B1, B2, B3, B4) để có cơ sở đánh giá tác động của các chính sách hỗ trợ nông nghiệp ứng dụng công nghệ cao.
Kiểm định mức ý nghĩa thống kê và hiện tượng đa cộng tuyến của mô hình
Bảng 6: Phân tích hồi quy
![]() |
| Nguồn: Tính toán từ số liệu điều tra của tác giả |
Giá trị kiểm định của 4 biến độc lập có mức ý nghĩa Sig. < 0,05, nên các biến độc lập có ý nghĩa thống kê. Các giá trị VIF < 10, nên không có hiện tượng đa cộng tuyến trong mô hình.
Kết luận: 4 biến độc lập tương quan, có ý nghĩa với biến phụ thuộc và không có hiện tượng đa cộng tuyến.
Kiểm định mức độ giải thích của mô hình
Hệ số R2 điều chỉnh là 0,708 có ý nghĩa 70,8% tác động của các biến đưa vào quan sát để đánh giá tác động tới nông nghiệp ứng dụng công nghệ cao được giải thích bởi 4 biến độc lập B1, B2, B3, B4.
Phân tích phương sai ANOVA cho thấy, giá trị Sig. < 0,01, độ tin cậy 99% chứng tỏ mô hình lý thuyết phù hợp với thực tế. Các biến độc lập có tương quan tuyến tính với biến phụ thuộc trong mô hình.
KẾT LUẬN VÀ HÀM Ý
Kết quả nghiên cứu cho thấy, có 4 nhân tố có tác động đến Nông nghiệp ứng dụng công nghệ cao, gồm: Chính sách hỗ trợ tài chính; Chính sách hỗ trợ về nhân lực; Chính sách hỗ trợ về khoa học công nghệ; Chính sách về cơ sở hạ tầng. Theo tác giả, trong thơi gian tới, cần có những chính sách, những giải pháp hỗ trợ khuyến khích cụ thể của từng địa phương nhằm tác động tích cực vào hoạt động phát triển nông nghiệp ứng dụng công nghệ cao góp phần nâng cao năng suất, chất lượng, hiệu quả và sức cạnh tranh của sản phẩm nông nghiệp đáp ứng yêu cầu hội nhập quốc tế và phát triển bền vững./.
Tài liệu tham khảo
1. Đoàn Thị Thu Hà, Nguyễn Thị Ngọc Huyền (2012), Giáo trình chính sách kinh tế - xã hội, Nxb Khoa học và Kỹ thuật
2. Đặng Kim Sơn (2008), Kinh nghiệm quốc tế về nông nghiệp, nông thôn, nông dân trong quá trình công nghiệp hóa, Nxb Chính trị Quốc gia.
3. Hair, J. F. J., Anderson, R. E., Tatham, R. L., Black, W. C. (1998), Multivariate Data Analysis, New Jersey: Prentice Hall.
4. Hoàng Trọng, Chu Nguyễn Mộng Ngọc (2005), Phân tích dữ liệu nghiên cứu với SPSS, Nxb Thống kê.
5. Lê Minh Ngọc (2017), Ứng dụng công nghệ cao trong nông nghiệp từ kinh nghiệm của một số nước, Tạp chí Khoa học - Công nghệ Nghệ An, (3/2017),18-2.
6. Nunally Ju. C. (1978), Psychometric Theory, McGraw-Hill.
7. Nguyễn Tấn Hinh (2014), Chính sách phát triển nông nghiệp ứng dụng công nghệ cao ở Việt Nam, Kỷ yếu hội thảo "Giải pháp phát triển mô hình sản xuất nông nghiệp quy mô lớn, ứng dụng công nghệ cao", Báo Nhân dân - Ngân hàng Nhà nước
8. Nguyễn Lan Hương (2018), Chính sách ứng dụng công nghệ cao trong sản xuất nông nghiệp trên địa bàn tỉnh Bắc Ninh, Luận văn thạc sĩ kinh tế, Trường Đại học Thương mại.
9. Phạm S. (2014), Nông nghiệp ứng dụng công nghệ cao là yêu cầu tất yếu để hội nhập quốc tế, Sách tham khảo, Nxb Khoa học và Kỹ thuật.
10. Washington Muzari, Olga Kupika, Concilia Danha and Charity Mapingure (2013), The impacts of agricultural technology use on productivity and food security among smallholder farmers in Zimbabwe: The case of Makonde district, Journal of Agricultural Extension and Rural Development, 5(10).
11. William C. Motes (2014), Modern Agriculture and Its Benefits – Trends, Implications and Outlook.
| Ngày nhận bài: 10/02/2025; Ngày phản biện: 28/2/2025; Ngày duyệt đăng: 10/3/2025 |








Bình luận