Sự phát triển của robot và AI trong việc hỗ trợ giảm thiểu khủng hoảng năng lượng toàn cầu: Góc nhìn mới từ phương pháp liên kết phân rã R2
Bùi Thị Minh Anh
Đại học Kinh tế Quốc dân và Công ty SciEco
Email: minhanhneu0508@gmail.com
Lê Thanh Hà
Đại học Kinh tế Quốc dân
Email: halethanh.kt@gmail.com
Tóm tắt
Sử dụng phương pháp phân rã liên kết theo R2, nghiên cứu xác định các mối liên kết đồng thời và liên kết trễ để xem xét cơ chế truyền dẫn lợi nhuận giữa các chỉ số biến động năng lượng toàn cầu và các chỉ số trí tuệ nhân tạo (AI) từ tháng 6/2018 đến tháng 10/2022. Nhìn chung, mối liên hệ giữa các chỉ số AI và bất ổn năng lượng liên tục cho thấy ảnh hưởng chi phối của AI trong việc ổn định năng lượng trong suốt mẫu; trong đó mối liên hệ trễ vượt trội so với mối quan hệ đồng thời. Kết quả nghiên cứu cho thấy, cần tích hợp AI vào quản trị năng lượng để giảm bất ổn, thúc đẩy hợp tác doanh nghiệp năng lượng - công nghệ, định hướng chiến lược đầu tư phù hợp và xây dựng khung pháp lý cùng chuẩn mực đạo đức nhằm bảo đảm phát triển bền vững.
Từ khóa: Phi mô hình, kết nối ròng, AI, bất ổn năng lượng, đại dịch COVID-19
Summary
Using the R²-connectedness decomposition approach, this study identifies both contemporaneous and lagged linkages to examine the profit transmission mechanism between global energy volatility indices and artificial intelligence (AI) indices from June 2018 to October 2022. Overall, the relationship between AI indices and energy uncertainty consistently demonstrates the dominant influence of AI in stabilizing the energy sector throughout the sample period, with lagged linkages prevailing over contemporaneous ones. The findings highlight the necessity of integrating AI into energy governance to mitigate instability, promote collaboration between energy and technology enterprises, guide appropriate investment strategies, and develop legal as well as ethical frameworks to ensure sustainable development.
Keywords: Non-parametric model, net connectedness, AI, energy uncertainty, COVID-19 pandemic
GIỚI THIỆU
Trong bối cảnh toàn cầu hóa và Cách mạng công nghệ 4.0, sự phát triển nhanh chóng của AI đang định hình lại cấu trúc và động lực vận hành của các thị trường truyền thống cũng như thị trường mới nổi. AI mang đến những phương thức hoàn toàn mới trong việc xử lý dữ liệu, ra quyết định và tối ưu hóa mô hình dự báo.
Trong bối cảnh đó, thị trường năng lượng và tài sản tài chính chịu tác động trực tiếp và mạnh mẽ. Thị trường năng lượng xanh đang chứng kiến sự mở rộng nhanh chóng khi AI được sử dụng để tối ưu hóa dự báo cung - cầu, nâng cao hiệu suất quản lý lưới điện và hỗ trợ giao dịch tín chỉ carbon. Tiếp đến, thị trường dầu thô vốn nhạy cảm với biến động địa chính trị và chu kỳ kinh tế, nay càng trở nên phức tạp do sự tham gia của các công nghệ phân tích dự báo giá dựa trên AI và sự dịch chuyển dòng vốn do công nghệ tài chính (Fintech) tạo ra.
Một thách thức lớn đối với giới học thuật và thực tiễn là làm thế nào để đo lường và mô phỏng mối quan hệ phức tạp giữa AI và thị trường năng lượng. Trên thực tế, các thị trường không tồn tại độc lập mà có tính liên kết chặt chẽ, đặc biệt trong bối cảnh rủi ro toàn cầu (COVID-19, xung đột địa chính trị, khủng hoảng năng lượng). Các nghiên cứu trước đây chủ yếu tập trung vào từng mối quan hệ riêng lẻ như ảnh hưởng của AI tới từng loại năng lượng. Tuy nhiên, vẫn còn thiếu các công trình hệ thống hóa và mô phỏng toàn diện, đặc biệt là khi đặt trong bối cảnh kết nối đa thị trường. Đây chính là khoảng trống mà nghiên cứu này hướng tới.
Mục tiêu của nghiên cứu không chỉ dừng lại ở việc mô tả các mối quan hệ, mà còn phát triển phương pháp phân rã liên kết theo R2. Nghiên cứu đánh giá động thái ảnh hưởng trong các giai đoạn khác nhau, cũng như mức độ lan tỏa rủi ro giữa bất ổn về năng lượng và các chỉ số AI.
PHƯƠNG PHÁP NGHIÊN CỨU
Dữ liệu
Nghiên cứu sử dụng chỉ số Biến động năng lượng (Energy-Related Uncertainty Indices - EUI) theo tháng (Dang và cộng sự, 2023). Trong lĩnh vực AI, nhóm tác giả sử dụng các chỉ số như Global X Robotics & Artificial Intelligence (BOTZ), iShares Robotics and Artificial Intelligence Multisector (IRBO) và First Trust Nasdaq Artificial Intelligence and Robotics (ROBT) nhằm phân tích biến động gắn liền với AI và Robot từ tháng 6/2018 đến tháng 10/2022, nhằm đánh giá tác động của các biến cố bất định toàn cầu như đại dịch COVID-19 và căng thẳng Nga - Ukraine đến mối liên hệ giữa AI và EUI. Các kiểm định nghiệm đơn vị, như được trình bày bởi Elliott và cộng sự (1996), đóng vai trò nền tảng cho hệ thống phân tích của nhóm nghiên cứu (Bài viết sử dụng cách viết số thập phân theo chuẩn quốc tế).
Phương pháp nghiên cứu
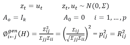
Nghiên cứu sử dụng kỹ thuật kết nối phi mô hình. Đây là một phương pháp đơn giản và tinh gọn để xây dựng mô hình tham chiếu. Như thông lệ trong thống kê, chúng ta có một giả thuyết không, giả định rằng không có tác động nào xảy ra và được chấp nhận hoặc bác bỏ bởi mô hình thống kê. Trong ví dụ của chúng tôi, phương pháp kết nối phi mô hình chính là giả thuyết không, bởi nó đơn thuần giả định rằng các biến trễ không có tác động đến z-t., tức là các hệ số VAR, B, bằng 0. Giả định này khiến cho mô hình và phép phân rã phương sai sai số dự báo tổng quát (GFEVD) tương ứng suy biến như sau:
![]() |
Cần lưu ý rằng, thước đo này không phụ thuộc vào tầm nhìn dự báo H và về bản chất chỉ là bình phương hệ số tương quan Pearson, được định nghĩa như là chỉ số R2 trong mô hình hồi quy tuyến tính song biến giữa biến i và biến j Điều này dẫn đến các đẳng thức sau: Rij2 = 1 và Rij2 = Rij2. Bằng cách sử dụng phương pháp chuẩn hóa do Diebold & Yılmaz (2012) đề xuất, GFEVD (chuẩn hóa) có thể được biểu diễn như sau:
![]() |
KẾT QUẢ NGHIÊN CỨU
Thống kê mô tả
Số liệu (Bảng 1) cho thấy, lợi suất trung bình dương ở tất cả các chuỗi, ngoại trừ BOTZ, đồng thời ghi nhận các mẫu phân phối phi chuẩn như được xác định bởi Jarque và Bera (1980), ngoại trừ BOTZ và IRBO. Việc áp dụng kiểm định nghiệm đơn vị (Elliott và cộng sự, 1996) tiếp tục khẳng định tính dừng của tất cả các chỉ số. Tuy nhiên, vấn đề trở nên phức tạp hơn khi kiểm định portmanteau có trọng số cho thấy hiện tượng tự tương quan chỉ ảnh hưởng đến lợi suất trong EUI (Fisher và Gallagher, 2012). Những phát hiện này thúc đẩy áp dụng phương pháp kết nối phân rã R2 mới nhằm khám phá mối quan hệ giữa bất định năng lượng và AI.
Bảng 1: Thống kê mô tả
|
| EUI | BOTZ | IRBO | ROBT |
| Mean | 0.574 | -0.306 | 0.029 | 0.324 |
|
| (0.860) | (0.759) | (0.976) | (0.731) |
| Variance | 541.821 | 50.942 | 46.569 | 45.655 |
| Skewness | 0.726** | -0.659** | -0.613* | -1.111*** |
|
| (0.028) | (0.043) | (0.058) | (0.002) |
| Ex.Kurtosis | 0.736 | 0.079 | 0.210 | 2.597*** |
|
| (0.163) | (0.586) | (0.458) | (0.006) |
| JB | 5.744* | 3.780 | 3.349 | 25.307*** |
|
| (0.057) | (0.151) | (0.187) | (0.000) |
| ERS | -2.853*** | -2.156** | -1.986* | -2.251** |
|
| (0.007) | (0.037) | (0.054) | (0.030) |
| Q(20) | 25.762*** | 11.190 | 12.591 | 8.237 |
|
| (0.001) | (0.383) | (0.262) | (0.700) |
| Q2(20) | 5.539 | 4.537 | 5.724 | 2.887 |
|
| (0.930) | (0.972) | (0.920) | (0.998) |
Nguồn: Tính toán của nhóm tác giả
Kết quả phương pháp phi mô hình
Kết nối trung bình giữa các chỉ số được trình bày trong Bảng 2. Phần đường chéo của bảng minh họa tác động của các cú sốc riêng lẻ đối với một chỉ số cụ thể. Ngược lại, các thành phần nằm ngoài đường chéo cho thấy cách thức các chỉ số khác ảnh hưởng đến sự bất ổn của chỉ số này (TO) và cách sự biến động của chỉ số này tác động đến các chỉ số khác (FROM). Các cột mô tả tác động riêng biệt của từng chỉ số lên các chỉ số khác, trong khi các hàng phản ánh rõ ràng mức độ ảnh hưởng của từng chỉ số đến sự biến thiên trong sai số dự báo của một chỉ số khác.
Bảng 2: Mức độ kết nối chung bình quân (Averaged joint connectedness)
Phần A: Tổng quan
|
| EUI | BOTZ | IRBO | ROBT | FROM |
| EUI | 20.38 | 22.82 | 19.76 | 21.13 | 63.71 |
| BOTZ | 9.00 | 3.32 | 39.31 | 44.91 | 93.22 |
| IRBO | 10.06 | 37.88 | 3.22 | 45.62 | 93.56 |
| ROBT | 8.28 | 42.15 | 44.60 | 3.41 | 95.02 |
| TO | 27.35 | 102.84 | 103.67 | 111.65 | TCI |
| NET | -36.36 | 9.62 | 10.11 | 16.63 | 86.38 |
Phần B: Mối quan hệ đồng thời
|
| EUI | BOTZ | IRBO | ROBT | FROM |
| EUI | 0.00 | 12.42 | 10.77 | 10.80 | 33.99 |
| BOTZ | 6.22 | 0.00 | 34.97 | 41.00 | 82.19 |
| IRBO | 5.98 | 35.08 | 0.00 | 42.19 | 83.26 |
| ROBT | 5.15 | 39.63 | 41.11 | 0.00 | 85.89 |
| TO | 17.36 | 87.13 | 86.85 | 93.99 | TCI |
| NET | -16.63 | 4.95 | 3.59 | 8.09 | 71.33 |
Phần C: Liên kết trễ
|
| EUI | BOTZ | IRBO | ROBT | FROM |
| EUI | 20.38 | 10.39 | 8.99 | 10.33 | 29.71 |
| BOTZ | 2.78 | 3.32 | 4.35 | 3.91 | 11.04 |
| IRBO | 4.08 | 2.80 | 3.22 | 3.43 | 10.30 |
| ROBT | 3.13 | 2.52 | 3.49 | 3.41 | 9.13 |
| TO | 9.99 | 15.71 | 16.82 | 17.66 | TCI |
| NET | -19.73 | 4.67 | 6.52 | 8.54 | 15.05 |
Nguồn: Tính toán của nhóm tác giả
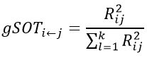
Trong bộ dữ liệu, TCI trung bình đạt mức 86,38%, như thể hiện trong Bảng 2 (Phần A) cho thấy, mối quan hệ truyền sốc qua lại giữa các chỉ số có thể giải thích 86.38% biến động trong hệ thống các biến đang quan sát. Hàng cuối của Bảng 2 cho thấy, mức độ đóng góp riêng lẻ của từng chỉ số. Bằng cách phân tách các quan sát thành mối liên hệ đồng thời trong Phần B và mối liên hệ trễ trong Phần C, nghiên cứu này làm sáng tỏ rằng chức năng của từng chỉ báo thay đổi theo bối cảnh tương tác khác nhau. Đối với mối quan hệ đồng thời, TCI đạt 71.33%. Tuy nhiên, khi xét đến các mối liên hệ trễ, giá trị này giảm mạnh xuống chỉ còn 15.05%. Trong tất cả mối quan hệ, sự bất ổn năng lượng đóng vai trò là người tiếp nhận cú sốc, trong khi các chỉ báo về AI lại liên tục đóng vai trò là nguồn phát tán sốc.
Hình 1 minh họa rõ ràng sự biến động trong mức độ kết nối tổng thể theo thời gian, qua đó cho thấy sự đối lập thú vị giữa mối liên hệ đồng thời và mối liên hệ trễ. Cụ thể, khi chỉ số kết nối tổng thể (TCI) đồng thời giảm xuống mức thấp nhất, phản ánh sự suy yếu tạm thời của các tác động tức thời giữa AI và EUI, thì TCI trễ lại đạt mức đỉnh, cho thấy những ảnh hưởng tích lũy và kéo dài mới thực sự chi phối động thái thị trường. Điều này hàm ý rằng, các cú sốc liên quan đến AI không bộc lộ ngay lập tức mà có xu hướng được khuếch đại trong trung và dài hạn. Ngược lại, khi quan sát theo thời gian, liên kết trễ luôn duy trì ổn định dưới ngưỡng 35, thể hiện tính bền vững và ổn định hơn so với liên kết đồng thời vốn biến động mạnh. Xu hướng này phản ánh rằng AI dần trở thành yếu tố nền tảng trong việc hình thành bất ổn năng lượng, đặc biệt trong giai đoạn chịu tác động kép từ đại dịch COVID-19 và xung đột Nga - Ukraine. Đây là 2 sự kiện địa - kinh tế toàn cầu tạo ra những cú sốc lớn về cung - cầu năng lượng, đồng thời thúc đẩy nhu cầu ứng dụng AI trong dự báo, quản lý và điều tiết thị trường. Nhìn chung, bằng chứng thực nghiệm từ Hình 1 cho thấy, mối quan hệ giữa AI và EUI ngày càng khăng khít, đồng thời khẳng định vai trò then chốt của AI trong việc điều hướng và phản ánh mức độ bất ổn năng lượng toàn cầu.
Hình 1: Tổng kết nối thay đổi theo thời gian
![]() |
Nguồn: Tính toán của nhóm tác giả
Hình 2 minh họa sự biến động theo thời gian của kết nối ròng của từng biến, qua đó làm sáng tỏ vai trò của EUI và các chỉ số AI, dựa trên cả mối liên hệ động đồng thời và mối liên hệ động trễ. Ảnh hưởng của mối liên hệ trễ được thể hiện nổi bật trong tất cả các kịch bản và liên tục khẳng định rằng, bất định năng lượng là người tiếp nhận cú sốc ròng, ngoại trừ một giai đoạn ngắn vào giữa năm 2019 khi EUI tạm thời đóng vai trò nguồn truyền dẫn cú sốc do tác động từ mối liên hệ trễ. Trong toàn bộ giai đoạn, ROBT liên tục nổi lên như nguồn truyền dẫn cú sốc ròng chủ đạo, trong khi tác động đồng thời của IRBO và BOTZ chuyển sang vai trò người tiếp nhận ròng vào đầu năm 2022. Ngược lại, ảnh hưởng của ROBT tiếp tục gia tăng, khiến nó trở thành chỉ số đại diện quan trọng nhất cho AI; đồng thời đóng vai trò như tài sản phòng ngừa rủi ro cho nhà đầu tư, ngay cả trong những khủng hoảng nghiêm trọng như xung đột Ukraine.
Hình 2: Kết nối ròng của từng biến thay đổi theo thời gian
![]() |
Nguồn: Tính toán của nhóm tác giả
Hình 3 thể hiện mối liên hệ trễ vượt trội so với mối quan hệ đồng thời. Nhìn chung, EUI bị chi phối trong suốt mẫu. Đáng chú ý, bất ổn năng lượng bị chi phối mạnh trong năm 2021, kéo dài sang đầu năm 2022, đặc biệt rõ rệt trong mối liên hệ trễ. Trong bối cảnh khủng hoảng, tác động trễ vượt trội hơn so với đồng thời, hàm ý rằng tồn tại độ trễ thời gian trong mối quan hệ giữa AI và EUI. Trước khi các cú sốc đột ngột xuất phát từ EUI diễn ra, sự phát triển mạnh mẽ của công nghệ AI đã góp phần giảm thiểu rủi ro cho các nhà đầu tư trên thị trường năng lượng. Ngược lại, sự quản trị lỏng lẻo AI lại gắn liền với việc lan truyền thông tin sai lệch, từ đó gây tác động bất lợi đến thị trường năng lượng (Danish &và Senjyu, 2023). Đáng lưu ý, trong trường hợp của chỉ số ROBT, EUI chỉ thể hiện vai trò chi phối thoáng qua trước năm 2019 và điều này chỉ xảy ra trong các mối liên hệ trễ.
Hình 3: Kết nối theo cặp (Dynamic net pairwise directional connectedness)
![]() |
Nguồn: Tính toán của nhóm tác giả
KẾT LUẬN
Bằng cách áp dụng phương pháp phân rã liên kết theo R2, nghiên cứu đã làm rõ các mối liên kết đồng thời và trễ trong cơ chế truyền dẫn lợi nhuận giữa chỉ số EUI và các chỉ số AI từ tháng 6/2018 đến tháng 10/2022. Kết quả cho thấy, AI có vai trò chi phối trong việc định hình động thái bất ổn năng lượng, với mối liên kết trễ nổi bật hơn so với liên kết đồng thời. Đặc biệt, tác động của AI đối với EUI trở nên mạnh mẽ nhất trong năm 2021 và kéo dài đến đầu năm 2022. Trên cơ sở đó, nghiên cứu khuyến nghị việc đẩy mạnh tích hợp AI vào quản trị năng lượng, tăng cường hợp tác giữa doanh nghiệp năng lượng và công nghệ, định hướng chiến lược đầu tư thích ứng, đồng thời xây dựng khung pháp lý và chuẩn mực đạo đức để thúc đẩy phát triển bền vững.
Trên cơ sở các kết quả thu được, nghiên cứu khuyến nghị cần đẩy mạnh hơn nữa việc tích hợp AI vào các hoạt động quản trị năng lượng. Việc này không chỉ giúp nâng cao năng lực dự báo và điều tiết bất ổn, mà còn tạo nền tảng cho sự phát triển các hệ thống năng lượng thông minh, có khả năng phản ứng linh hoạt với các cú sốc bên ngoài. Đồng thời, sự hợp tác chặt chẽ giữa các doanh nghiệp năng lượng truyền thống với các công ty công nghệ là điều kiện cần thiết để tận dụng tối đa thế mạnh của AI trong việc quản trị rủi ro và nâng cao hiệu quả vận hành.
(*) Bùi Thị Minh Anh được tài trợ bởi Chương trình học bổng đào tạo thạc sĩ, tiến sĩ trong nước của Quỹ Đổi mới sáng tạo Vingroup (VINIF), mã số VINIF.2024.TS.077.
Tài liệu tham khảo:
1. Dang, T. H.-N., Nguyen, C. P., Lee, G. S., Nguyen, B. Q., and Le, T. T. (2023). Measuring the energy-related uncertainty index. Energy Economics, 106817. https://doi.org/10.1016/j.eneco.2023.106817.
2. Danish, M. S. S., and Senjyu, T. (2023). Shaping the future of sustainable energy through AI-enabled circular economy policies. Circular Economy, 2(2), 100040. https://doi.org/10.1016/j.cec.2023.100040.
3. Diebold, F,X., and Yilmaz, K., 2012. Better to give than receive: predictive directional measurement of volatility spillovers, International Journal of Forecasting, 28, 57-66.
4. Elliott, G., Rothenberg, T. J., and Stock, J. H. (1996). Efficient Tests for an Autoregressive Unit Root. Econometrica, 64(4), 813-836. https://doi.org/10.2307/2171846.
5. Fisher, T. J., and Gallagher, C. M. (2012). New Weighted Portmanteau Statistics for Time Series Goodness of Fit Testing. Journal of the American Statistical Association, 107(498), 777-787. https://doi.org/10.1080/01621459.2012.688465.
6. Jarque, C. M., and Bera, A. K. (1980). Efficient tests for normality, homoscedasticity and serial independence of regression residuals. Economics Letters, 6(3), 255-259. https://doi.org/10.1016/0165-1765(80)90024-5.
| Ngày nhận bài: 28/8/2025; Ngày hoàn thiện biên tập: 5/10/2025; Ngày duyệt đăng: 10/10/2025 |






Bình luận